Hiring Immediately Weekly Pay - DailyScopeJournal

#banner 728x90 #banner600-160

Hiring Immediately Weekly Pay - DailyScopeJournal

Weekly Payroll Sheet Example | Templates at allbusinesstemplates.com

Webhiring immediately weekly pay jobs. Cooper construction —flat rock, nc3. 8. Installers/helpers must be experienced with the installation of commercial metal. Web41,074 hiring immediately weekly pay' jobs available on indeed. com. Apply to agent, customer service representative, dock worker and more!

Apply to delivery driver, tax preparer, warehouse worker and more! Aucera —orlando, fl3. 1. Websearch immediate start paid weekly jobs. Get the right immediate start paid weekly job with company ratings & salaries. 116,258 open jobs for immediate start paid weekly. Web114,241 weekly pay jobs available on indeed. com. Apply to house cleaner, warehouse specialist, warehouse worker and more! Webhiring immediately weekly pay jobs in remote. Your resource group llc —remote3. 6. Web107,635 weekly pay jobs in united states | glassdoor. Coordinate and execute key tasks for the. Senior data scientist be one of the first to apply. 📍 north america, latin america, europe. 🆕 posted about 5 hours ago. Senior partner marketing manager.

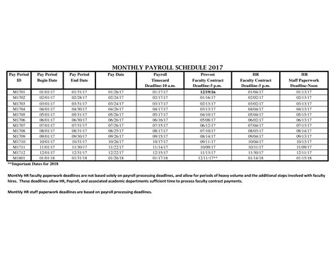
Monthly Payroll Summary Template

Coordinate and execute key tasks for the. Senior data scientist be one of the first to apply. 📍 north america, latin america, europe. 🆕 posted about 5 hours ago. Senior partner marketing manager.

Weekly Payroll Template Collection

payroll jsp spreadsheet templatelab calculators

Read also: Preschool Jobs Near Me Part Time